Брутто-ставка –
- Тарифна ставка внесків зі страхування, що становить суму нетто-ставки, що забезпечує виплату страхового відшкодування (страхової суми), і надбавки (навантаження) до неї, призначеної покриття інших витрат, що з проведення страхування. Насправді замість терміну брутто-ставка найчастіше використовується термін страховий тариф.
- Нормований по відношенню до страхової суми та строку виплати розмір страхової премії.
Брутто-ставка складається з двох частин:
- нетто-ставки, що призначена для створення фонду страхових виплат;
- навантаження (надбавки), що використовується для:
- покриття управлінських витрат на проведення страхування;
- фінансування запобіжних (превентивних) заходів;
- створення (формування) прибутку.
Витрати ведення справи (адміністративно-управлінські витрати) відбивають собою собівартість страхових операцій та включають такі статті витрат:
- витрати, пов’язані з укладанням та переукладанням (пролонгацією) договорів страхування, у тому числі:
- винагороду страховим брокерам та страховим агентам (як правило – у вигляді страхової комісії);
- витрати на утримання власних кол-центрів або оплата аналогічних аутсорсингових послуг;
- оплата праці штатних та позаштатних працівників страхової компанії, зайнятих оформленням договорів страхування;
- витрати на рекламу та маркетинг;
- оплату праці працівників страхової організації;
- оренду приміщення;
- плату за електроенергію, опалення, водопостачання, поштово-телеграфні, телефонні витрати, оплата послуг постачальникам Інтернет тощо;
- витрати на відрядження;
- інші витрати страхової компанії, пов’язані з виконанням нею своєї діяльності.
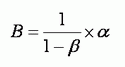
Річна брутто-ставка може бути розрахована за такою формулою:

де – річна нетто-ставка;
β – частка навантаження.
Якщо нетто-ставка розраховується на основі певних математичних (статистичних) моделей, то навантаження, що включається до брутто-ставки, є калькуляційною величиною, що визначається або за даними бухгалтерського обліку, або на основі будь-яких припущень та фінансових правил. Зокрема, резерв на запобіжні заходи створюється лише з деяких видів страхування.
Щодо страхування життя навантаження має бути розподілене на весь період дії договору страхування, що потребує достатньо точних (і щодо складних) розрахунків. Для інших видів страхування, де термін дії договору обмежується роком, величина навантаження розподіляється суворо пропорційно до страхових внесків.
Частина навантаження брутто-ставки відноситься до безпосередніх витрат і виводиться з-під оподаткування прибутку.
Величина брутто-ставки, виражена у грошовій формі по відношенню до страхової суми, називається брутто-премією та є платою страхувальника за укладеним договором.