Вартість капіталу (Cost of Capital) – ціна, яку необхідно заплатити за використання капіталу, розрахована як відсоток для його обсягу.
Поняття вартості капіталу широко використовується при вирішенні багатьох завдань, а саме:
- забезпечення вимог інвесторів щодо віддачі на вкладений капітал;
- формуванні раціональних напрямів інвестування;
- управління структурою джерел фінансування;
- зміцненні платоспроможності компанії у довгостроковому періоді тощо.
До базових принципів оцінки вартості капіталу належать:
- принцип поелементної оцінки;
- інтегральної (узагальнюючої) вартості;
- співвідношення власного та позикового капіталу;
- динамічної оцінки;
- взаємозв’язку оцінки поточної та майбутньої вартості.
Оцінка вартості капіталу, сформованого з допомогою різних джерел, складає основі розрахунку середньозваженої величини вартості капіталу (Weighted Average Cost of Capital), яка обчислюється як:

де WACC – середньозважена вартість капіталу, %;
ri – Відсоткова ставка для запозичених ресурсів з i-го джерела, %;
di – Питома вага i-го джерела у формуванні структури капіталу,%.
Визначення вартості окремих компонентів капіталу, отриманого з відповідних джерел здійснюється з використанням наступних підходів, поширених на практиці.
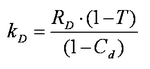
1. Вартість капіталу у формі банківського кредиту розраховується за такою формулою:



де kD – Вартість капіталу у формі банківського кредиту, %;
RD – Ставка відсотка за банківський кредит,%;
T – Ставка податку на прибуток;
CD – Частка витрат, пов’язаних з обслуговуванням кредиту.
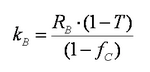
2. Вартість капіталу за рахунок емісії корпоративних облігацій:


де kВ – Вартість капіталу, що залучається за рахунок емісії корпоративних облігацій,%;
RВ – Купонна ставка по облігації, %;
fC – Частка емісійних витрат у загальному обсязі емісії (Flotation Cost);
T – Ставка податку на прибуток.
3. Вартість капіталу за рахунок емісії привілейованих акцій (Preferred Stock):



де kPS — вартість капіталу з допомогою емісії привілейованих акцій, %;
DIVPS – фіксований дивіденд з привілейованих акцій;
PPS – ціна привілейованої акції;
fC – Частка витрат на емісію.
4. Вартість капіталу з допомогою емісії звичайних акцій можна визначити з урахуванням використання: моделей дисконтування дивідендів (DDM); моделі оцінки капітальних активів (CAPM); моделі Модільяні-Міллера; моделі Лі-Хамаді; коефіцієнтних моделей та ін.
4.1. Модель Гордона (одна з найпопулярніших DDM, що застосовуються для визначення вартості капіталу для акцій з постійним темпом зростання дивідендів):



де kS – Вартість капіталу за рахунок емісії звичайних акцій%;
DIVS – Очікуваний дивіденд на одну акцію (у річному вимірі):
PS – ціна акції (ціна розміщення):
fC – Частка витрат на емісію;
g – темп зростання дивідендів, %.
4.2. Модель САРМ (для визначення вартості капіталу для акцій, що мають постійне котирування на фондовому ринку):
kS = RF + βS (R̅M - RF),
де kS — вартість капіталу з допомогою емісії звичайних акцій, %;
RF – безризикова процентна ставка (за державними зобов’язаннями), %;
R̅M – Середньоринкова ставка прибутковості, %;
βS – Показник систематичного ризику для певного класу цінних паперів (визначається на основі застосування методів статистичного аналізу для акцій з постійним котируванням на фондовому ринку).
Модель САРМ (для акцій, що мають постійне котирування на фондових ринках країн із нестійкими економіками:
kS = RF + βS (R̅M - RF) + x + y + z,
де kS — вартість капіталу з допомогою емісії звичайних акцій, %;
x, y, z – премії за специфічні види ризиків, які вважають значущими для країн з нестійкими економіками.
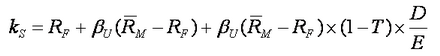
4.3. Модель Модільяні-Міллера (для визначення вартості залучення коштів за рахунок акцій для компаній, що використовують боргове фінансування):



де kEU — вартість акціонерного капіталу корпорацій, які використовують боргове фінансування, %;
kD – Середня вартість позички,%;
D, E – обсяги позичкового та власного капіталів;
Т — ставка (коефіцієнт) прибуток корпорації.
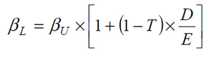
4.4. Модель САРМ для оцінки вартості залучення коштів за рахунок акцій для тих компаній, що використовують боргове фінансування (модель Лі-Хамаді):



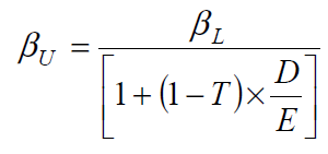
де βU – Коефіцієнт «бета» за відсутності боргових джерел фінансування корпорації;
D, E – сума позичкового та власного капіталів;
RF – безризикова процентна ставка (за державними зобов’язаннями), %;
R̅M – Середньоринкова ставка прибутковості (прибутковість фондового ринку),%;
Т — ставка (коефіцієнт) прибуток корпорації.
Ця модель поєднує підходи САРМ моделі та моделі Модільяні-Міллера. Використовується для порівняння вартості капіталу підприємств-аналогів, що відрізняються за рівнем фінансового важеля, оскільки між показниками β для корпорацій, які використовують і не використовують боргове фінансування, існує така залежність:






де: βLβU – Коефіцієнти «бета» для корпорацій, які, відповідно, використовують і не використовують боргове фінансування.
4.4. Моделі, що ґрунтуються на використанні фінансових коефіцієнтів.
Модель на основі використання мультиплікатора “ціна – дохід”:



де EPS1 – Очікуваний чистий дохід на акцію, доступний для розподілу;
P0 – Вартість акції.
Якщо очікується зростання показника EPS постійним темпом gто попередня формула має такий вигляд:



При рівні P/E більше 10 значення kS не перевищуватиме 10%, тому точність отриманих оцінок з використанням цих моделей невисока.
(Див. вартість банку, структура капіталу компанії).