Моделі оцінки вартості акцій (stock valuation models) – система алгоритмів, що дозволяють визначити реальну ринкову вартість різних типів акцій. Основними з цих моделей є:
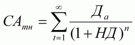
а) модель оцінки поточної ринкової вартості акції за її використання інвестором протягом невизначеного тривалого періоду. Алгоритм цієї моделі має такий вигляд:

де САтн – ринкова вартість акції, що використовується невизначена кількість років;
Да — сума дивідендів, на яку очікує інвестор у n-му періоді;
НД — норма поточної прибутковості акцій цього типу, використовувана як дисконтна ставка у розрахунках цієї вартості, виражена десятковим дробом;
n – Число періодів, включених до розрахунку.
Економічний зміст цієї моделі полягає в тому, що поточна ринкова вартість акції, що використовується невизначена кількість років, є сумою дивідендів за окремими періодами, наведену до справжньої вартості за дисконтною ставкою, що дорівнює нормі поточної прибутковості по ній;
б) модель оцінки поточної ринкової вартості акцій при їх використанні протягом заздалегідь передбаченого терміну. Вона має такий вигляд:



де САто – поточна ринкова вартість акції, що використовується заздалегідь передбачений період;
Дn – Сума дивідендів, яку інвестор передбачає отримати в n-му періоді;
ЦРа – прогнозована ринкова ціна реалізації акції наприкінці поточного періоду її використання;
НД — норма поточної прибутковості акцій цього типу, використовувана як дисконтна ставка у розрахунках цієї вартості, виражена десятковим дробом;
n – Число періодів використання акції.
Економічний зміст цієї моделі полягає в тому, що поточна ринкова вартість акції, що використовується протягом заздалегідь передбаченого терміну, дорівнює сумі передбачуваних дивідендів у періоді, що використовується, і прогнозованої ринкової вартості акції в момент її реалізації, приведеним до справжньої вартості за дисконтною ставкою, що дорівнює нормі поточної прибутковості за нею;
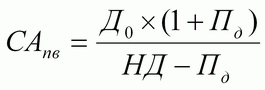
в) модель оцінки поточної ринкової вартості акцій з постійним розміром дивідендів. Відповідно до цієї моделі поточна ринкова вартість акції розраховується таким чином:



де ЗАп – ринкова вартість акцій з постійним розміром дивідендів, що виплачуються;
Д – Річна сума постійного дивіденду;
НД – норма поточної прибутковості акцій даного типу, виражена в десятковому дробі;
ПД – темп зростання дивідендів, виражений у десятковому дробі.
г) модель оцінки поточної ринкової вартості акцій з сумою дивідендів, що постійно зростає (Вона відома як «модель Гордона») [Gordons model]. Алгоритм цієї моделі має такий вигляд:



де САпв – ринкова вартість акції з постійно зростаючими розмірами дивідендів;
Дпро – Сума останнього виплаченого дивіденду;
НД – норма поточної прибутковості акцій даного типу, виражена в десятковому дробі;
Пд – темп зростання дивідендів, виражений у десятковому дробі.
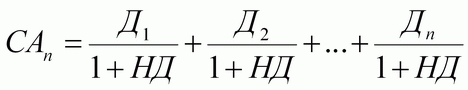
д) модель оцінки поточної ринкової вартості акцій із сумою дивідендів, що змінюється, за окремими періодами. Вона має такий вигляд:



де САn — поточна ринкова вартість акції з сумою дивідендів, що змінюється;
Дn – сума дивідендів, прогнозована до отримання в n-му періоді;
НД – норма поточної прибутковості акцій даного типу, виражена в десятковому дробі;
n – Число прогнозованих періодів.
Моделі оцінки реальної ринкової вартості акцій використовуються у процесі оцінки їх інвестиційних якостей.